- 이전까지 선형 모델의 비용 함수는 RSS를 최소화하는, 즉 실제 값과 예측 값의 차이를 최소화하는 것만 고려
- 그 결과 학습 데이터에 과대적합되어 회귀 계수가 쉽게 커져 변동성이 오히려 심해져 테스트 데이터셋에서 예측 성능이 저하됨
- alpha : 학습 데이터 적합 정도와 회귀 계수 값 크기 제어하는 튜닝 파라미터
- alpha ↑ : 회귀 계수 W의 값 작게 해 과적합 개선
: 릿지(Ridge) 회귀
: 라쏘(Lasso) 회귀
릿지 회귀
- 규제항으로 회귀계수 제곱 합 대입
- α가 0이면 선형 회귀
- α가 매우 크면 모든 가중치는 거의 0에 가까워지고 결국 데이터의 평균 지나는 수평선이 됨
- StandardScaler와 같은 라이브러리를 이용해 데이터 스케일 맞춰야 함
- α를 증가시킬수록 직선에 가까워짐
릿지 회귀의 정규방정식
확률적 경사 하강법
라쏘 회귀
- 규제항으로 회귀계수의 절댓값 합 대입
- 불필요한 회귀 계수를 급격하게 감소시켜 0으로 만들고 제거
- 적절한 피처만 회귀에 포함시키는 특성 선택을 하고 희소 모델 만듦
기하학적 이해
릿지 회귀
- $β^{LS}$ : 일반 선형 회귀 모델 결과, MSE가 최소가 되는 지점. 멀어질수록 MSE가 작아짐
- 원의 반지름이 작아질수록 규제항이 감소하고 제약이 커짐 = α가 클수록 규제항이 작아짐
- 규제항을 통해 제약을 가했다면 그 제약을 만족하면서 MSE가 최소인 지점에 해당하는 회귀계수를 찾게 됨
라쏘 회귀
- 파란색 마름모 꼴의 제약 범위 내에 MSE가 최소인 점은 $β_2$ 축 위의 검정색 점, 즉 $β_1$=0인 지점 = 대응하는 독립변수 $x_1$이 예측에 중요하지 않음
- 0에서 미분이 불가능하므로 서브그레디언트 벡터를 사용해 경사 하강법 적용 가능
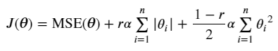
엘라스틱넷
- $r$ : 혼합 비율
- $r$=0이면 릿지 회귀, $r$=1이면 라쏘 회귀
- l1_ratio = $r$ (혼합 비율)
규제 모델 비교
'Data Science' 카테고리의 다른 글
링글 리뷰 데이터 크롤링 및 워드 클라우드 생성 (0) | 2022.03.05 |
---|---|
Selenium으로 인스타그램 크롤링하기 (0) | 2021.02.20 |
40 Examples to Master Pandas (1) : 1번~10번 (0) | 2021.01.29 |